永磁同步电机反电势的理解
2024-09-06(1402)次浏览
1.反电势是如何产生的?
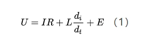
650彩票其实反电势的产生很好理解,记忆力稍好的同学都应该知道早在初中和高中时就已经接触过,只是当时的叫法是感应电动势,其原理就是导体切割磁感线,只要两者有相对运动就行,可以是磁场不动,导体切割;也可以是导体不动,让磁场动。对于永磁同步电机而言,其线圈固定在定子上(导体),永磁体固定在转子上(磁场),当转子转动时,转子上的永磁体产生的磁场就会旋转起来,就会被定子上的线圈进行切割,并在线圈中产生反电势。为什么叫反电势呢?顾名思义,因为反电势E的方向和端电压U方向相反(如图1所示)。

2.反电势和端电压有什么关系?
650彩票从图1中可以看出在负载下反电势和端电压的关系式为:

对于反电势的测试,一般是在空载状态下,不通电流,转速为1000rpm条件下测试得出的。一般定义1000rpm数值,反电势系数=反电势平均值/转速,反电势系数是电机比较重要的参数,这里需要注意的是负载下的反电势在转速未稳定之前是不断变化的。通过(1)式可知负载下反电势是小于端电压的,如果反电势大于端电压就成了发电机,对外输出电压。由于实际工作中的电阻和电流较小,因此反电势的值约等于端电压,且受端电压的额定值限制。
3.反电势的物理意义
设想如果反电势不存在会出现什么样的情况呢?由式(1)可知,没有反电势,整个电机就相当于一个纯电阻,成了一个产热特别严重的器件,这和电机将电能转化为机械能是相违背的。
在电能转化关系式中
,UIt即为输入电能,比如向电池、电动机或变压器中的输入电能;I2Rt是各电路中的热损失能量,这部分能量是一种热损耗能量,越小越好;输入电能与热损耗电能的差值,就是与反电动势相对应的那部分有用能量
650彩票,换言之,反电动势是用来产生有用能量,与热损耗呈反相关,热损耗能量越大,可实现的有用能量就越小。
650彩票客观地讲,反电动势消耗了电路中的电能,但它并不是一种“损耗”,与反电动势相应的那部分电能,将转化为用电设备的有用能量,例如,电动机的机械能、蓄电池的化学能等。
由此可见,反电动势的大小,意味着用电设备把输入的总能量向有用能量转化的本领的强弱,反映用电器转化本领的高低。
4.反电势的大小和什么有关?
先给出反电势的计算公式:
E为线圈电动势、 ψ 为磁链、f为频率、N为匝数、Φ是磁通。
根据上述公式相信大家也大概能说出几点影响反电势大小的因素了,这里引用一篇文章进行总结:
(1)反电势等于磁链的变化率,转速越高变化率越大,反电势越大;
(2)磁链本身等于匝数乘以单匝磁链,因此匝数越高磁链越大,反电势越大;
(3)匝数又和绕组方案有关,星角接,每槽匝数,相数,齿数,并联支路数,整距还是短距方案有关;
(4)单匝磁链等于磁动势除以磁阻,因此磁动势越大,磁链方向上磁阻越小反电势越大;
(5)磁阻又和气隙以及极槽配合有关,气息越大磁阻越大,反电势越小。极槽配合比较复杂要具体分析;
(6)磁动势又和磁钢剩磁和磁钢有效面积有关,剩磁越大反电势越高。有效面积和磁钢充磁方向,尺寸以及摆放位置均有关,需要具体分析;
(7)剩磁又和温度有关,温度越高,反电势越小
综上,反电势影响因素包括转速,每槽匝数,相数,并联支路数,整距短距,电机磁路,气隙长度,极槽配合,磁钢剩磁,磁钢摆放位置和磁钢尺寸,磁钢充磁方向,温度。
5.电机设计中反电势大小如何选取?
在电机设计中,反电势E非常重要,我觉得反电势设计的好(大小选择合适,波形畸变率低),这个电机就是好的。反电势对电机的影响主要有几方面:1、反电势大小决定了电机弱磁点,而弱磁点决定了电机效率map图的分布。2、反电势波形畸变率影响了电机纹波转矩,影响了电机运行时转矩输出的平稳性。3、反电势的大小直接决定了电机的转矩系数,反电势系数和转矩系数成正比关系。由此可得出下面电机设计中所面临的矛盾点:
a.反电势做大,电机在低速运行区域能在控制器极限电流下保持高力矩,但是在高转速时无法输出力矩,甚至无法达到预期转速;
650彩票b.反电势做小,电机在高速区域仍然有输出能力,但是低速相同控制器电流下转矩达不到。
因此,反电势大小的设计取决于电机的实际需求,例如在小型电机的设计中,如果要求在低速时仍能输出足够的转矩,那么反电势就必须设计的偏大一些。




18922805132